EXAMEN LOGARITMOS ECUACIONES LOGARÍTMICAS
MATEMÁTICAS 4º E.S.O.
EXAMEN RESUELTO DE LOGARITMOS Y ECUACIONES PARA MATEMÁTICAS DE 4º DE LA E.S.O. PRUEBA 1 DEL SEGUNDO TRIMESTRE. CURSO 2025-26, REALIZADO EN «EL PILAR»:

PUEDE INTERESAR LA CONSULTA DE LOS SIGUIENTES MATERIALES RELACIONADOS:
PUEDE INTERESAR IGUALMENTE LA CONSULTA DE: OTROS EXÁMENES RESUELTOS PARA MATEMÁTICAS DE 4º DE LA E.S.O.
SIGUE EL ESQUEMA DETERMINADO POR LA PROPUESTA DE PROGRAMACIÓN DE MATEMÁTICAS PARA 4º DE LA E.S.O.: MATEMÁTICAS DE 4º DE LA E.S.O.. DESARROLLO DE LA ASIGNATURA
EL ENUNCIADO DE LA PRUEBA DE EXAMEN (X1096), DE LOGARITMOS Y ECUACIONES LOGARÍTMICAS, PARA MATEMÁTICAS DE 4º DE LA E.S.O.:
LOS EJERCICIOS DE LA PRUEBA Y SU RESOLUCIÓN PASO A PASO:
EJERCICIO M4EE3481:
Si el log 3 = 0,5 y el log 7 = 0,8, calcular sin utilizar la calculadora:
a.- log 21 =
b.- log (9/7) =
c.- log 49 =
d.- log 0,3 =
RESOLUCIÓN DEL EJERCICIO:
EJERCICIO M4EE3482:
Resolver la siguiente ecuación logarítmica, paso a paso:
log3 (x+2) + log3 (x-4) = 3
RESOLUCIÓN DEL EJERCICIO:
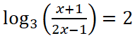
EJERCICIO M4EE3483:
Resolver la siguiente ecuación logarítmica, paso a paso:
![]()
RESOLUCIÓN DEL EJERCICIO:
EJERCICIO M4EE3484:
Resolver la siguiente ecuación logarítmica, paso a paso:
![]()
RESOLUCIÓN DEL EJERCICIO:
EJERCICIO M4EE3485:
Resolver la siguiente ecuación logarítmica, paso a paso:
2 log x – 2 log (x+1) = 0
RESOLUCIÓN DEL EJERCICIO:
EJERCICIO M4EE3486:
Resolver la siguiente ecuación logarítmica, paso a paso:
log x + log 5 = 2
RESOLUCIÓN DEL EJERCICIO:
EJERCICIO M4EE3487:
Resolver la siguiente ecuación logarítmica, paso a paso:
log (3 – x) 2 = log 2 + log x
RESOLUCIÓN DEL EJERCICIO:
