EJERCICIO RESUELTO ECUACIÓN BICUADRADA
EJERCICIO RESUELTO DE ECUACIÓN BICUADRADA PARA ÁLGEBRA DE 1º DE BACHILLERATO:

INTERESA LA CONSULTA DEL SIGUIENTE ARTÍCULO RELACIONADO:
MÁS RECURSOS DISPONIBLES PARA MATEMÁTICAS DE 1º DE BACHILLERATO: MATEMÁTICAS 1º DE BACHILLERATO
SIGUE EL PROCESO DETERMINADO SEGÚN: MATEMÁTICAS I DE 1º DE BACHILLERATO: DESARROLLO DE LA ASIGNATURA
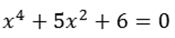
EJERCICIO M1BE3342; (ejercicio 1h Actividad 152 de Achimagec)
Resolver la siguiente ecuación:
![]()
RESOLUCIÓN DE ESTA ECUACIÓN BICUADRADA:
