EJERCICIO RESUELTO SISTEMAS INECUACIONES
EJERCICIO M1BE2314T RESUELTO DE SISTEMA DE INECUACIONES CON DOS INCÓGNITAS, PARA MATEMÁTICAS DE SECUNDARIA Y BACHILLERATO:

INTERESA LA CONSULTA DE LOS SIGUIENTES ARTÍCULOS RELACIONADOS:
FORMA PARTE DE LOS CONTENIDOS INTEGRADOS EN EL PROCESO DE DESARROLLO DE LAS ASIGNATURAS:
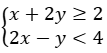
EJERCICIO M1BE2314-t:
Resolver el siguiente sistema de inecuaciones con dos incógnitas:

RESOLUCIÓN DE ESTE SISTEMA DE INECUACIONES CON DOS INCÓGNITAS:
