EJERCICIOS PREPARAR PRUEBA ECUACIONES
EJERCICIOS PARA PREPARAR UNA PRUEBA DE ECUACIONES (ÁLGEBRA) PARA 1º DE BACHILLERATO :

PUEDE INTERESAR LA CONSULTA DE LOS SIGUIENTES ARTÍCULOS:
SIGUE EL PROCESO DETERMINADO SEGÚN: MATEMÁTICAS I DE 1º DE BACHILLERATO: DESARROLLO DE LA ASIGNATURA
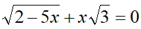
EJERCICIO M1BE3414:
Resolver la siguiente ecuación comprobando las soluciones:
![]()
IR A LA RESOLUCIÓN PASO A PASO DE ESTA ECUACIÓN IRRACIONAL:
EJERCICIO M1BE3414 ECUACIÓN IRRACIONAL V1
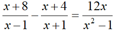
EJERCICIO M1BE3415:
Resolver la siguiente ecuación comprobando las soluciones:

IR A LA RESOLUCIÓN PASO A PASO DE ESTA ECUACIÓN RACIONAL:
Ejercicio M1BE3415 ECUACIÓN RACIONAL__V1
EJERCICIO M1BE3416:
Resolver la siguiente ecuación
x4 – 2x3 – 5x2 + 6x = 0
IR A LA RESOLUCIÓN PASO A PASO DE ESTA ECUACIÓN POLINÓMICA DE GRADO SUPERIOR A DOS:
EJERCICIO M1BE3416 ECUACIÓN POLINÓMICA_V1
EJERCICIO M1BE3417:
Resolver la siguiente ecuación
6 x – 9 · 6 – x + 8 = 0
IR A LA RESOLUCIÓN PASO A PASO DE ESTA ECUACIÓN EXPONENCIAL:
Ejercicio M1BE3417 ECUACIÓN EXPONENCIAL__V1
EJERCICIO M1BE3418:
Resolver la siguiente ecuación comprobando las soluciones:
![]()
IR A LA RESOLUCIÓN PASO A PASO DE ESTA ECUACIÓN LOGARÍTMICA:
