EJERCICIO LÍMITE EBAU CANARIAS 2023
EJERCICIO RESUELTO DE LÍMITE. DETERMINACIÓN DE K. COCIENTE DE CEROS. PAU CANARIAS 2022-23:
PUEDE INTERESAR LA CONSULTA DE LOS SIGUIENTES ARTÍCULOS RELACIONADOS:
- INDETERMINACIÓN CERO DIVIDIDO ENTRE CERO. COCIENTE DE CEROS. LÍMITES
- INDETERMINACIÓN INFINITO ENTRE INFINITO. COCIENTE DE INFINITOS. LÍMITES BACHILLERATO
- LÍMITES: USO DEL NÚMERO «e» PARA RESOLVER INDETERMINACIONES
- REGLA DE L’HÔPITAL PARA EL CÁLCULO DE LÍMITES. MATEMÁTICAS BACHILLERATO
- INFINITÉSIMOS EQUIVALENTES PARA EL CÁLCULO DE LÍMITES (ampliación de contenidos)
- FUNCIONES: ANÁLISIS PARA 1º BACHILLERATO
- EJERCICIOS DE ANÁLISIS DE FUNCIONES
ESTÁ EN CONSONANCIA CON LAS ESTRATEGIAS DETERMINADAS POR LAS PROPUESTAS DE PROGRAMACIONES:
- MATEMÁTICAS I DE 1º DE BACHILLERATO: DESARROLLO DE LA ASIGNATURA
- MATEMÁTICAS II DE 2º DE BACHILLERATO: DESARROLLO DE LA ASIGNATURA
- MATEMÁTICAS II APLICADAS A LAS CIENCIAS SOCIALES PARA 2º DE BACHILLERATO. DESARROLLO DE LA ASIGNATURA
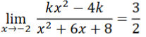
EJERCICIO M2BE3583, EBAU CANARIAS 2023:
Averiguar el valor de k para que sea cierta la siguiente igualdad:

RESOLUCIÓN DEL EJERCICIO:


