EJERCICIO RESUELTO RELATIVIDAD MASA RELATIVISTA
EJERCICIO RESUELTO F2BE3579 DE RELATIVIDAD, PARA FÍSICA DE BACHILLERATO, DE MASAS RELATIVISTAS:

PUEDE INTERESAR LA CONSULTA DE LOS SIGUIENTES MATERIALES RELACIONADOS CON ESTA PRUEBA DENTRO DE ESTE PROYECTO DE MEJORA DEL APRENDIZAJE EN CIENCIAS:
SIGUE EL PROCESO DETERMINADO POR EL DESARROLLO DE LA ASIGNATURA DE FÍSICA DE 2º DE BACHILLERATO DE ESTE PROYECTO DE MEJORA DEL APRENDIZAJE EN CIENCIAS:
EJERCICIO F2BE3579:
A qué velocidad tiene que moverse un cuerpo para que su masa en movimiento sea el doble que la masa en reposo.
Dato: c = 3·108 m/s
RESOLUCIÓN DEL EJERCICIO:
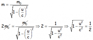
La masa de un cuerpo aumenta con la velocidad, de acuerdo con la transformación de Lorentz correspondiente:

Donde m0 es la masa en reposo del cuerpo (masa propia); m es la masa inercial de la partícula.
Según la transformación anterior, y teniendo en cuenta que nos dice el problema que m = 2·m0 :

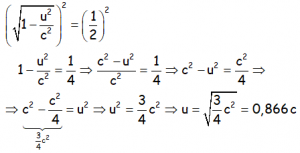
Elevando al cuadrado los dos miembros de la ecuación final:

Que es una velocidad considerable, como corresponde teniendo en cuenta la variación en la masa por los efectos relativistas.
