INTEGRALES RESUELTAS SUSTITUCIÓN PARTES
CÁLCULO DE INTEGRALES PARA MATEMÁTICAS DE BACHILLERATO
INTEGRALES POR SUSTITUCIÓN O CAMBIO DE VARIABLE, PARTES E INMEDIATAS, PARA MATEMÁTICAS DE BACHILLERATO. EJEMPLOS RESUELTOS:

PUEDE INTERESAR LA CONSULTA DE LOS SIGUIENTES ARTÍCULOS RELACIONADOS:
- CÁLCULO DE INTEGRALES PARA MATEMÁTICAS DE BACHILLERATO
- EJERCICIOS RESUELTOS DE INTEGRALES POR SUSTITUCIÓN O CAMBIO DE VARIABLE PARA MATEMÁTICAS DE 2º DE BACHILLERATO
- MÉTODO DE INTEGRACIÓN POR PARTES DE RESOLUCIÓN DE INTEGRALES PARA BACHILLERATO
SIGUE EL PROCESO DETERMINADO POR:
EJERCICIOS M2BE3366:
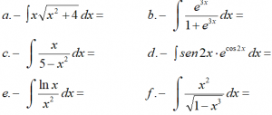
Resolver las siguientes integrales, por el método más apropiado con el que consigas descubrir la “primitiva”:

RESOLUCIÓN DE ESTAS INTEGRALES:
EJERCICIO M2BE3366 a INTEGRAL SUSTITUCIÓN_V1
EJERCICIO M2BE3366 B INTEGRAL INMEDIATA
EJERCICIO M2BE3366 C INTEGRAL SUSTITUCIÓN_V1
EJERCICIO M2BE3366 D INTEGRAL INMEDIATA_V1
EJERCICIO M2BE3366 E INTEGRAL POR PARTES_V1
EJERCICIO M2BE3366 F INTEGRAL SUSTITUCIÓN_V1
