EJERCICIOS RESUELTOS OPERACIONES RADICALES
EJERCICIOS RESUELTOS DE OPERACIONES CON RADICALES, MATEMÁTICAS DE SECUNDARIA Y BACHILLERATO. ARITMÉTICA:

PUEDE INTERESAR LA CONSULTA DEL SIGUIENTE ARTÍCULO GENERAL Y RELACIONADO:
GUARDA RELACIÓN CON LAS ESTRATEGIAS DETERMINADAS POR:
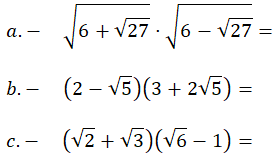
EJERCICIO M1BE3310:
Realizar las siguientes operaciones con radicales, sin calculadora y simplificando al máximo las expresiones obtenidas:

RESOLUCIÓN PASO A PASO DE ESTE EJERCICIO DE OPERACIONES CON RADICALES:
EJERCICIO MIBE3310 OPERACIONES CON RADICALES RESUELTO_V1
EJERCICIO M1BE2047:
Realizar la siguiente operación con radicales, obteniendo la expresión más simplificada. Evidentemente, de forma argumentada, paso a paso, sin calculadora:

VÍDEO CON LA SOLUCIÓN DEL EJERCICIO: https://youtu.be/3jHnVS8fwI8
RESOLUCIÓN PASO A PASO DE ESTE EJERCICIO DE OPERACIONES CON RADICALES EN FORMATO TEXTO:
EJERCICIO MIBE2047 SUMA DE RADICALES_V1
EJERCICIO M1BE3308:
Racionalizar y simplificar las siguientes expresiones con radicales:

RESOLUCIÓN PASO A PASO DE ESTE EJERCICIO DE RACIONALIZACIÓN DE DENOMINADORES:
EJERCICIO MIBE3308 RACIONALIZAR DENOMINADORES
EJERCICIO M1BE3309:
Simplificar la siguiente expresión con radicales, sin calculadora, utilizando las propiedades correspondientes:

RESOLUCIÓN PASO A PASO DE ESTE EJERCICIO DE OPERACIONES CON RADICALES:
EJERCICIO M1BE3309 SUMA DE RADICALES_V1
EJERCICIO M1BE2057:
Simplificar lo más posible cada una de las siguientes expresiones:

VÍDEO CON LA RESOLUCIÓN DEL EJERCICIO: https://youtu.be/olKGsK6uRz8
RESOLUCIÓN PASO A PASO DE ESTE EJERCICIO DE OPERACIONES CON RADICALES EN FORMATO TEXTO:
EJERCICIO MIBE2057 SIMPLIFICACIÓN RADICALES_V1
EJERCICIO M1BE3311:
Simplificar lo más posible la siguiente expresión con radicales:

RESOLUCIÓN PASO A PASO DE ESTE EJERCICIO CON RADICALES:
EJERCICIO M1BE3311 SIMPLIFICAR RADICALES_V1
