ARITMÉTICA NORMAS SECUNDARIA BACHILLERATO
OPERACIONES CON RADICALES, POTENCIAS Y LOGARITMOS
ARITMÉTICA PARA SECUNDARIA Y 1º DE BACHILLERATO:

GUARDA RELACIÓN CON LAS ESTRATEGIAS DETERMINADAS POR:
En la línea marcada de rigor, en este nivel de Bachillerato, a la hora de culminar un ejercicio, sobre todo cuando lo hacemos en una actividad o prueba evaluable, comentamos en primer lugar la NORMATIVA ANTE LA FINALIZACIÓN DE UN EJERCICIO, que es más que recomendable puesto que demuestra «madurez matemática», lo que valoran muchísimo a los profesores.
LOS ASPECTOS FORMALES PARA DOCENTES, AL FINAL DEL ARTÍCULO
No se deben dejar como resultados finales en los ejercicios y sobre todo si estamos en un control o examen :
1.- Exponentes negativos (pasarlos a positivos):

2.- Exponentes fraccionarios, pasarlos a forma de raíz:
![]()
3.- Signos negativos en el denominador. Pasarlo a numerador o delante de la fracción:
![]()
4.- Deben estar simplificados al máximo, todas las expresiones, incluso algebraicas:

5.- Las raíces, sacar de ellas lo que se pueda:
![]()
6.- “Castillos”.Utilizar la división de fracciones para comprobar la regla “producto de extremos entre producto de medios”:

7.- Raíces en el denominador (Racionalizar):
Si es una raiz cuadrada, se multiplica numerador y denominador por la raiz.
Si es un binomio, por el conjugado numerador y denominador.
Si es una raiz enésima, por aquella raiz enésima del mismo índice con un radicando elevada a una potencia tal que haga que nos vaya la raiz con la potencia .
EJERCICIO M1BE2051:
Extraer factores del radical, simplificando al máximo:

VÍDEO QUE RESUELVE EL EJERCICIO: https://youtu.be/eNSI1hmq-Bs
EJERCICIO M1BE3284:
Extraer factores del radical de los siguientes ejemplos (suponiendo que se pueda), simplificando las expresiones:

VÍDEO CON LA RESOLUCIÓN DEL EJERCICIO: https://youtu.be/_eJzcODuRPU
EJERCICIO M1BE2053:
Extraer factores y simplificar lo más posible, cada una de las siguientes expresiones con radicales:

VÍDEO CON LA SOLUCIÓN DEL EJERCICIO: https://youtu.be/HaB3BbfUFRA
EJERCICIO M1BE2053 d:
Extraer factores y simplificar lo más posible, cada una de las siguientes expresiones con radicales:

IR AL ARTÍCULO CON LA SOLUCIÓN DEL EJERCICIO: EXAMEN RESUELTO DE OPERACIONES CON RADICALES Y ECUACIONES. ARITMÉTICA Y ÁLGEBRA PARA MATEMÁTICAS DE 1º BACHILLERATO.
EJERCICIO M1BE2033:
Simplifique las siguientes expresiones con radicales:

EVIDENTEMENTE SIN USAR LA CALCULADORA
VÍDEO CON LA RESOLUCIÓN PASO A PASO DE ESTOS EJERCICIOS: https://youtu.be/1QN6_KhL1c0
EJERCICIO M1BE2595:
Extrae factores y simplifica lo más posible cada una de las siguientes expresiones:

IR AL ARTÍCULO CON LA SOLUCIÓN DEL EJERCICIO: EXAMEN INICIAL RESUELTO DE ARITMÉTICA Y ÁLGEBRA PARA MATEMÁTICAS I, DE 1º DE BACHILLERATO. CURSO 2024-25
EJERCICIO M1BE2040:
Racionalizar las siguientes expresiones con radicales:

EVIDENTEMENTE SIN USAR LA CALCULADORA
VÍDEO CON LA SOLUCIÓN DE LOS EJERCICIOS: https://youtu.be/J8iJqC3HcyI
EJERCICIO M1BE2047:
Realizar la siguiente operación con radicales, obteniendo la expresión más simplificada. Evidentemente, de forma argumentada, paso a paso, sin calculadora:

VÍDEO CON LA SOLUCIÓN DEL EJERCICIO: https://youtu.be/3jHnVS8fwI8
IR AL ARTÍCULO CON LA SOLUCIÓN EN FORMATO TEXTO, PARA FACILITAR LA INMEDIATEZ EN LA BÚSQUEDA DE LA SOLUCIÓN: EJERCICIOS RESUELTOS DE OPERACIONES CON RADICALES. SECUNDARIA Y BACHILLERATO
EJERCICIO M1BE2048:
Racionalizar la siguiente expresión, efectuar las operaciones y simplificar. Evidentemente, de forma argumentada, paso a paso, sin calculadora:

VÍDEO CON LA SOLUCIÓN DEL EJERCICIO: https://youtu.be/_QloqjXP1x4
IR AL ARTÍCULO CON LA RESOLUCIÓN DE ESTE EJERCICIO EN FORMATO TEXTO: EXAMEN RESUELTO DE OPERACIONES CON RADICALES Y ECUACIONES. ARITMÉTICA Y ÁLGEBRA PARA MATEMÁTICAS DE 1º BACHILLERATO.
EJERCICIO M1BE2049:
Racionalizar la siguiente expresión, efectuar las operaciones y simplificar. Evidentemente, de forma argumentada, paso a paso, sin calculadora:

VÍDEO CON LA SOLUCIÓN DEL EJERCICIO: https://youtu.be/9E51DVMfNMw
EJERCICIO M1BE2596:
Racionalizar y simplificar:

IR AL ARTÍCULO CON LA SOLUCIÓN DEL EJERCICIO: EXAMEN INICIAL RESUELTO DE ARITMÉTICA Y ÁLGEBRA PARA MATEMÁTICAS I, DE 1º DE BACHILLERATO. CURSO 2024-25
EJERCICIO M1BE2061:
Racionalizar y simplificar la siguiente expresión con radicales:

VÍDEO CON LA SOLUCIÓN DEL EJERCICIO: https://youtu.be/6UA3Td1yqZg
EJERCICIO M1BE2062:
Racionalizar y simplificar la siguiente expresión con radicales:

VÍDEO CON LA SOLUCIÓN DEL EJERCICIO: https://youtu.be/f9u_FpqCKDA
EJERCICIO M1BE2063:
Efectuar y simplificar las siguientes expresiones con radicales:
![]()

VÍDEO CON LA SOLUCIÓN DEL EJERCICIO: https://youtu.be/xN6jlBVKdWo
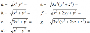
EJERCICIO M1BE2050:
Simplifique la siguiente expresión. Evidentemente, de forma argumentada, paso a paso, sin calculadora:

VÍDEO CON LA SOLUCIÓN DEL EJERCICIO, en el que se trabaja con las raíces, introduciendo factores en los radicales: https://youtu.be/QfsAcfd82bY
VÍDEO CON LA SOLUCIÓN DEL EJERCICIO, en el que se expresan las raíces como exponentes fraccionarios y se trabaja con las propiedades de las potencias: https://youtu.be/t5Ln2MW7GyM
LA MEJOR MANERA LA DECIDEN USTEDES Y SE SABRÁ EN FUNCIÓN DE LAS VISUALIZACIONES DE CADA UNO DE LOS VIDEOS. ¡COMIENZA LA LUCHA DE DOCENTES!, … QUE GANE EL MEJOR.
EJERCICIO M1BE2057:
Simplifique lo más posible cada una de las siguientes expresiones:

VÍDEO CON LA RESOLUCIÓN DEL EJERCICIO: https://youtu.be/olKGsK6uRz8
IR AL ARTÍCULO CON LA RESOLUCIÓN DEL EJERCICIO EN FORMATO TEXTO, PARA FAVORECER LA INMEDIATEZ EN LA BÚSQUEDA DE LA SOLUCIÓN: EXAMEN RESUELTO DE ARITMÉTICA MATEMÁTICAS I 1º DE BACHILLERATO, PRIMER TRIMESTRE DEL CURSO 2025-26.
EJERCICIO M1BE2279:
Extraer factores y simplificar lo más posible cada una de las expresiones siguientes:

IR A LA SOLUCIÓN PASO A PASO DE ESTE EJERCICIO DE OPERACIONES CON RADICALES
EJERCICIO M1BE2303:
Resuelve y simplifica:

IR A LA RESOLUCIÓN PASO A PASO DE ESTE EJERCICIO DE OPERACIONES CON RADICALES
EJERCICIO M1BE2280:
Racionalizar y simplificar:

IR A LA SOLUCIÓN PASO A PASO DE ESTE EJERCICIO DE OPERACIONES CON RADICALES
EJERCICIO M1BE3310:
Realizar las siguientes operaciones con radicales, sin calculadora y simplificando al máximo las expresiones obtenidas:

IR AL ARTÍCULO CON LA RESOLUCIÓN PASO A PASO DE ESTE EJERCICIO: EJERCICIOS RESUELTOS DE OPERACIONES CON RADICALES. SECUNDARIA Y BACHILLERATO
EJERCICIO M1BE2856:
Extraer factores y simplificar lo más posible la siguiente expresión:

IR AL ARTÍCULO CON LA RESOLUCIÓN DEL EJERCICIO: EXAMEN RESUELTO DE MATEMÁTICAS I, 1º BACHILLERATO CIENCIAS Y TECNOLOGÍA, DE ARITMÉTICA Y ÁLGEBRA
EJERCICIO M1BE2857:
Extraer factores y simplificar lo más posible la siguiente expresión:

IR AL ARTÍCULO CON LA RESOLUCIÓN DEL EJERCICIO: EXAMEN RESUELTO DE MATEMÁTICAS I, 1º BACHILLERATO CIENCIAS Y TECNOLOGÍA, DE ARITMÉTICA Y ÁLGEBRA
EJERCICIO M1BE2858:
Racionalizar y simplificar:

IR AL ARTÍCULO CON LA RESOLUCIÓN DEL EJERCICIO: EXAMEN RESUELTO DE MATEMÁTICAS I, 1º BACHILLERATO CIENCIAS Y TECNOLOGÍA, DE ARITMÉTICA Y ÁLGEBRA
EJERCICIO M1BE3285:
Efectuar la siguiente operación con radicales, simplificando lo que sea posible:

IR AL ARTÍCULO CON LA RESOLUCIÓN DEL EJERCICIO: EJERCICIO M1BE3285 RESUELTO DE SIMPLIFICACIÓN DE EXPRESIONES CON RADICALES
EJERCICIO M1BE3308:
Racionalizar y simplificar las siguientes expresiones con radicales:

IR AL ARTÍCULO CON LA RESOLUCIÓN DEL EJERCICIO: EXAMEN RESUELTO DE ARITMÉTICA MATEMÁTICAS I 1º DE BACHILLERATO, PRIMER TRIMESTRE DEL CURSO 2025-26.
EJERCICIO M1BE3309:
Simplificar la siguiente expresión con radicales, sin calculadora, utilizando las propiedades correspondientes:

IR AL ARTÍCULO CON LA RESOLUCIÓN DEL EJERCICIO: EXAMEN RESUELTO DE ARITMÉTICA MATEMÁTICAS I 1º DE BACHILLERATO, PRIMER TRIMESTRE DEL CURSO 2025-26.
EJERCICIO M1BE3311:
Simplificar lo más posible la siguiente expresión con radicales:

IR AL ARTÍCULO CON LA RESOLUCIÓN DEL EJERCICIO: EXAMEN RESUELTO DE ARITMÉTICA MATEMÁTICAS I 1º DE BACHILLERATO, PRIMER TRIMESTRE DEL CURSO 2025-26.
APLICACIÓN DE LOS RADICALES EN TRIGONOMETRÍA:
CONFIRMACIÓN / DEMOSTRACIÓN DE LOS VALORES DE LAS RAZONES TRIGONOMÉTRICAS DE 30º Y DE 60º, DE MANERA GENERAL Y SIN CALCULADORA:
VÍDEO QUE RESUELVE LA CUESTIÓN PLANTEADA: https://youtu.be/Ky_NK6AWnmg
CONFIRMACIÓN / DEMOSTRACIÓN DE LOS VALORES DE LAS RAZONES TRIGONOMÉTRICAS DE 45º, DE MANERA GENERAL Y SIN CALCULADORA:
VÍDEO QUE RESUELVE LA CUESTIÓN PLANTEADA: https://youtu.be/wePTenISH3I
EJERCICIO M1BE2116:
Teniendo en cuenta que,

y que π/2 < α < π, hallar el resto de las razones trigonométricas directas, dejando los resultados expresados correctamente, si así fuera el caso, y evidentemente sin calculadora.
VÍDEO QUE RESUELVE EL EJERCICIO: https://youtu.be/WyYajtSowZE
EJERCICIO M1BE2117:
Teniendo en cuenta que, tg α = 1/3, y que 180o < α < 270o, hallar el resto de las razones trigonométricas directas e inversas, dejando los resultados expresados correctamente, si así fuera el caso, y evidentemente sin calculadora.
VÍDEO CON LA SOLUCIÓN DEL EJERCICIO: https://youtu.be/qUXNQMCnAA0
OPERACIONES CON LOGARITMOS:
EJERCICIO M1BE2308:
Si log 3 = 0,4771 y log 5 = 0,6990
Calcular: a) log 50 b) log 81 c) log 125 d) log 9/25
IR A LA RESOLUCIÓN PASO A PASO DE ESTE EJERCICIO DE OPERACIONES CON LOGARITMOS
EJERCICIO M1BE2597:
Sabiendo que log 2 = 0,3010 y log 7 = 0,8451, calcular:
a.- log 0,875 =
b.- log 28 =
IR AL ARTÍCULO CON LA SOLUCIÓN DEL EJERCICIO: EXAMEN INICIAL RESUELTO DE ARITMÉTICA Y ÁLGEBRA PARA MATEMÁTICAS I, DE 1º DE BACHILLERATO. CURSO 2024-25
EJERCICIO M1BP0339:
Sabiendo que log 2 = 0,3010 y log 3 = 0,4771, calcular con una calculadora de parvulitos (sin tecla log):
a.- log 14,4 =
b.- log (1,6 · 0,32) =
c.- log 5,12 =
d.- log 16,2 =
e.- log 0,3 =
f.- log 0,02 =
IR A LA RESOLUCIÓN DEL EJERCICIO: EJERCICIO RESUELTO M1BE0339 DE APLICACIÓN DE LAS PROPIEDADES DE LOS LOGARITMOS. ARITMÉTICA PARA BACHILLERATO
EJERCICIO M1BE3291:
Calcular utilizando la definición de logaritmo el valor de la siguiente expresión:

IR A LA RESOLUCIÓN DEL EJERCICIO: EJERCICIO RESUELTO M1BE3291 DE APLICACIÓN DE LAS PROPIEDADES DE LOS LOGARITMOS. ARITMÉTICA PARA BACHILLERATO
EJERCICIO M1BE3228:
Obtener el valor de esta expresión con logaritmos de base 2, sin calculadora, utilizando exclusivamente las propiedades de los logaritmos:

VÍDEO QUE RESUELVE EL EJERCICIO: https://youtu.be/jjUA7EcbZ7M
EJERCICIO M1BE3292:
Calcula el valor de los siguientes logaritmos, sin calculadora:


IR A LA RESOLUCIÓN DEL EJERCICIO: EJERCICIO RESUELTO M1BE3292 DE APLICACIÓN DE LAS PROPIEDADES DE LOS LOGARITMOS. ARITMÉTICA PARA BACHILLERATO
EJERCICIO M1BE3293:
Sabiendo que log 2 = 0,3010 y log 3 = 0,4771, calcular:
a.- log 0,00000002
b.- log 0,125
c.- log 5
d.- log 72
e.- log 60
f.- log 18
IR A LA RESOLUCIÓN DEL EJERCICIO: EJERCICIO RESUELTO M1BE3293 DE APLICACIÓN DE LAS PROPIEDADES DE LOS LOGARITMOS. ARITMÉTICA PARA BACHILLERATO
EJERCICIO M1BE1924:
Hallar sin calculadora el valor numérico de la siguiente expresión con logaritmos neperianos (logaritmos en base e).

SOLUCIÓN: 1
IR AL ARTÍCULO CON LA RESOLUCIÓN DETALLADA DEL EJERCICIO: EJERCICIOS CON SOLUCIÓN DE UTILIZACIÓN DE LAS PROPIEDADES DE LOS LOGARITMOS
EJERCICIO M1BE1925:
Hallar sin calculadora, utilizando las propiedades de los logaritmos, el valor numérico de las siguientes expresiones con logaritmos en base dos:

SOLUCIÓN: 2
IR AL ARTÍCULO CON LA RESOLUCIÓN DETALLADA DEL EJERCICIO: EJERCICIOS CON SOLUCIÓN DE UTILIZACIÓN DE LAS PROPIEDADES DE LOS LOGARITMOS
EJERCICIO M1BE1926:
Demostrar, desarrollando y utilizando las propiedades de los logaritmos, que la siguiente expresión con logaritmos decimales (en base 10), es equivalente a la mitad del logaritmo decimal de b.

IR AL ARTÍCULO CON LA RESOLUCIÓN DETALLADA DEL EJERCICIO: EJERCICIOS CON SOLUCIÓN DE UTILIZACIÓN DE LAS PROPIEDADES DE LOS LOGARITMOS
EJERCICIO M1BE1927:
Demostrar con rigor, y basándose en las propiedades de los logaritmos, la veracidad o falsedad de la siguiente igualdad en logaritmos en base 3:

IR AL ARTÍCULO CON LA RESOLUCIÓN DETALLADA DEL EJERCICIO: EJERCICIOS CON SOLUCIÓN DE UTILIZACIÓN DE LAS PROPIEDADES DE LOS LOGARITMOS
EJERCICIO M1BE3307:
Sabiendo que log 2 = 0,3010 y log 7 = 0,8451, sin calculadora y exclusivamente utilizando las propiedades de los logaritmos, obtener el valor de los siguientes logaritmos:
a.- log 56 =
b.- log g = log 9,8 =
IR AL ARTÍCULO CON LA RESOLUCIÓN PASO A PASO DEL EJERCICIO: EXAMEN RESUELTO DE ARITMÉTICA MATEMÁTICAS I 1º DE BACHILLERATO, PRIMER TRIMESTRE DEL CURSO 2025-26.
EJERCICIO M1BE3461:
Hallar sin calculadora, utilizando las propiedades de los logaritmos, el valor numérico de las siguientes expresiones con logaritmos neperianos (logaritmos en base e):

IR A LA RESOLUCIÓN DEL EJERCICIO: EJERCICIO RESUELTO M1BE3461 DE APLICACIÓN DE LAS PROPIEDADES DE LOS LOGARITMOS. ARITMÉTICA PARA BACHILLERATO
EJERCICIO M1BE3306:
Obtener el valor de la siguiente expresión, exclusivamente utilizando las propiedades de los logaritmos, dejando constancia de los pasos y sin calculadora:

IR AL ARTÍCULO CON LA RESOLUCIÓN PASO A PASO DEL EJERCICIO: EXAMEN RESUELTO DE ARITMÉTICA MATEMÁTICAS I 1º DE BACHILLERATO, PRIMER TRIMESTRE DEL CURSO 2025-26.
PUEDE RESULTAR DE INTERÉS COMPLETAR ESTE CONTENIDO CON:
LOS NÚMEROS COMPLEJOS. ARITMÉTICA Y ÁLGEBRA PARA BACHILLERATO.
ASPECTOS FORMALES:
SABERES BÁSICOS IMPLICADOS:
SE TRABAJA, DENTRO DE LOS SABERES BÁSICOS DE MATEMÁTICAS DE 1º DE BACHILLERATO EL SENTIDO NUMÉRICO:, EN SU PUNTO 1.3
SE PRETENDE CON ESTA DINÁMICA EL DESARROLLO DE LAS COMPETENCIAS CLAVE:
- COMPETENCIA MATEMÁTICA Y EN CIENCIA, TECNOLOGÍA E INGENIERÍA (STEM), concretamente el DESCRIPTOR OPERATIVO STEM1.
- COMPETENCIA EN COMUNICACIÓN LINGÜÍSTICA (CLL), concretamente el DESCRIPTOR OPERATIVO CCL2.
- COMPETENCIA DIGITAL (CD) , concretamente elDESCRIPTOR OPERATIVO CD1.
- COMPETENCIA PERSONAL, SOCIAL Y DE APRENDER A APRENDER (CPSAA) , concretamente elDESCRIPTOR OPERATIVO CPSAA1.1
- COMPETENCIA EMPRENDEDORA (CE) , concretamente elDESCRIPTOR OPERATIVO CE1
CON RESPECTO A LAS COMPETENCIAS ESPECÍFICAS DE MATEMÁTICAS DE 1º DE BACHILLERATO QUE SE CONSIDERAN:
MAT BAC C2 , MAT BAC C3 , MAT BAC C4 , MAT BAC C5 , MAT BAC C7 , MAT BAC C8 , MAT BAC C9
CON RESPECTO A LOS CRITERIOS DE EVALUACIÓN DE MATEMÁTICAS I DE 1º DE BACHILLERATO:
MATI1BAC2.2 , MATI1BAC3.1 , MATI1BAC4.1 , MATI1BAC5.1 , MATI1BAC5.2 , MATI1BAC7.1 , MATI1BAC7.2 , MATI1BAC8.1 , MATI1BAC8.2 , MATI1BAC9.1 , MATI1BAC9.2 , MATI1BAC9.3
SE OBSERVAN LAS COMPETENCIAS ESPECÍFICAS DE MATEMÁTICAS IY II Y ESTÁN HIPERVINCULADOS A LOS DESCRIPTORES OPERATIVOS DE LAS COMPETENCIAS CLAVE
ESTOS CONTENIDOS Y OTROS RELACIONADOS CON ARITMÉTICA SE DETALLAN EN EL SIGUIENTE ARCHIVO PDF:
