EXAMEN ANÁLISIS PROBABILIDAD SOCIALES
2º BACHILLERATO CCSS
EXAMEN RESUELTO DE ANÁLISIS DE FUNCIONES Y PROBABILIDAD. MATEMÁTICAS 2º BACHILLERATO CIENCIAS SOCIALES. PRUEBA 1 DEL SEGUNDO TRIMESTRE DEL CURSO 2025-26, REALIZADO EN «EL PILAR»:

INTERESA LA CONSULTA DE LOS SIGUIENTES ARTÍCULOS DENTRO DE ESTE PROYECTO DE MEJORA DEL APRENDIZAJE EN CIENCIAS:
-
- EJERCICIOS DE ANÁLISIS DE FUNCIONES. MATEMÁTICAS 2º BACHILLERATO
- FUNCIONES: ANÁLISIS PARA BACHILLERATO
- ESTUDIO DE LA DERIVABILIDAD DE UNA FUNCIÓN
- INTEGRALES Y DERIVADAS. PROBLEMAS CONTEXTUALIZADOS
- EJERCICIOS DE CÁLCULO DE ÁREAS UTILIZANDO LA INTEGRAL DEFINIDA
- PROBABILIDAD. DIAGRAMAS EN ÁRBOL.
- DISTRIBUCIÓN NORMAL DE PROBABILIDADES, PARA MATEMÁTICAS DE BACHILLERATO
- DISTRIBUCIÓN BINOMIAL DE PROBABILIDAD, PARA MATEMÁTICAS DE BACHILLERATO
ESTA PRUEBA SIGUE LA DINÁMICA QUE SE REFLEJA EN LA PROPUESTA DE PROGRAMACIÓN DIDÁCTICA PARA ESTE CURSO DE MATEMÁTICAS II DE 2º DE BACHILLERATO CIENCIAS SOCIALES:
LOS ENUNCIADOS DE LA PRUEBA DE EXAMEN (x1095):
*Las páginas y números son la referencia del cuadernillo que compartimos en clase en El Pilar, correspondientes a ejercicios EBAU/PAU Canarias
LOS EJERCICIOS DE LA PRUEBA Y SU RESOLUCIÓN PASO A PASO:
EJERCICIO M2BECCSS3474:
En una plaza hay una superficie limitada por las curvas f(x) = 3x2 – 5x + 3 y g(x) = x + 3 , con 𝑥 expresado en metros, donde se quiere hacer un jardín para instalar dentro una estatua conmemorativa.
a) Representar la superficie que se destina al jardín.
b) ¿Cuánto mide dicha superficie?.
RESOLUCIÓN DEL EJERCICIO:
EJERCICIO M2BECCSS3475:
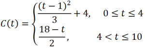
Durante los últimos 10 años, los costos en comunicaciones de una empresa, en decenas de miles de euros, vienen dados por la función:

siendo 𝑡 el tiempo en años. Justificando la respuesta:
a) ¿Es continua 𝐶(𝑡)?
b) ¿Cuándo 𝐶(𝑡) es derivable? ¿Cuándo creció y cuándo decreció 𝐶(𝑡)?
c) ¿Cuándo alcanzó 𝐶(𝑡) el máximo y el mínimo absolutos? ¿Cuáles fueron los valores máximos y mínimos absolutos?
RESOLUCIÓN DEL EJERCICIO:
EJERCICIO M2BECCSS3476:
Un estudio realizado sobre 600 personas de una ciudad indica que 360 consultan 15 o más veces su teléfono móvil cada tres horas.
a) Con una confianza del 97%, construir un intervalo de confianza para la proporción de personas que consulta menos de 15 veces su teléfono móvil cada tres horas.
b) Si para estimar la proporción de personas que consulta 15 o más veces su teléfono móvil cada tres horas se obtiene el intervalo [0,5424 ; 0,6576], ¿cuál es el nivel de confianza utilizado?
c) Si la población de la ciudad es de 10000 personas, usando el nivel de confianza del apartado b), ¿entre qué límites está el número de los que consulta menos de 15 veces su teléfono móvil cada tres horas?
RESOLUCIÓN DEL EJERCICIO:
EJERCICIO M2BECCSS3477:
Ciertos móviles de nueva generación tienen una vida útil de dos años y medio con una desviación típica de tres meses. Elegido uno de estos móviles al azar hallar la probabilidad de que:
a) Dure más de dos años y nueve meses.
b) Dure entre dos y tres años.
c) Una muestra de 4 de estos móviles tenga una duración media de más de dos años y siete meses y medio.
RESOLUCIÓN DEL EJERCICIO:
