EXAMEN ANÁLISIS ÁLGEBRA MATRICES
EXAMEN RESUELTO BLOQUE DE ANÁLISIS DE FUNCIONES Y ÁLGEBRA (MATRICES Y DETERMINANTES), PARA MATEMÁTICAS II DE 2º BACHILLERATO. PRUEBA 1 DEL SEGUNDO TRIMESTRE CURSO 2025-26, REALIZADO EN «EL PILAR»:

PUEDE INTERESAR LA CONSULTA DE:
-
- EJERCICIOS DE ANÁLISIS DE FUNCIONES. MATEMÁTICAS 2º BACHILLERATO
- FUNCIONES: ANÁLISIS PARA BACHILLERATO
- ESTUDIO DE LA DERIVABILIDAD DE UNA FUNCIÓN
- LÍMITES: USO DEL NÚMERO «e» PARA RESOLVER INDETERMINACIONES
- REGLA DE L’HÔPITAL PARA EL CÁLCULO DE LÍMITES. MATEMÁTICAS BACHILLERATO
- ASÍNTOTAS VERTICALES, HORIZONTALES Y OBLÍCUAS. RAMAS PARABÓLICAS: APLICACIONES DE LOS LÍMITES DE FUNCIONES
- APLICACIONES DE LA DERIVADA. OPTIMIZACIÓN Y CÁLCULO DE PARÁMETROS.
- INTEGRALES Y DERIVADAS. PROBLEMAS CONTEXTUALIZADOS
- LA DERIVADA ES VARIACIÓN Y LA INTEGRAL ES SU OPERACIÓN INVERSA
- CÁLCULO DE INTEGRALES PARA MATEMÁTICAS DE BACHILLERATO
- MATRICES Y DETERMINANTES PARA BACHILLERATO. MATRIZ INVERSA
- DISCUSIÓN Y RESOLUCIÓN DE SISTEMAS LINEALES. ROUCHÉ Y CRAMER
- RESOLUCIÓN DE ECUACIONES Y SISTEMAS DE ECUACIONES MATRICIALES
ESTA PRUEBA SIGUE LA DINÁMICA QUE SE REFLEJA EN LA PROGRAMACIÓN PARA ESTE CURSO DE MATEMÁTICAS II DE 2º DE BACHILLERATO CIENCIAS Y TECNOLOGÍA: MATEMÁTICAS II DE 2º DE BACHILLERATO: DESARROLLO DE LA ASIGNATURA
LOS ENUNCIADOS DE LA PRUEBA, DE ANÁLISIS DE FUNCIONES y MATRICES Y DETERMINANTES (X1094):
LOS EJERCICIOS DE LA PRUEBA Y SU RESOLUCIÓN PASO A PASO:
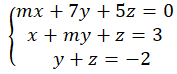
EJERCICIO M2BE3469:
a.- Discute el siguiente sistema de ecuaciones según los distintos valores del parámetro m.

b.- Resuelve en todos los casos que sea posible.
RESOLUCIÓN DEL APARTADO A, DE DISCUSIÓN DEL SISTEMA:
RESOLUCIÓN DEL APARTADO B, DE RESOLVER EL SISTEMA:
EJERCICIO M2BE3470:
Resuelve la siguiente ecuación matricial: XA + Bt = AB , sabiendo que:

RESOLUCIÓN DEL EJERCICIO:
EJERCICIO M2BE3471:
Calcula los parámetros a y b para que la función definida a continuación sea derivable en todo ℜ.

RESOLUCIÓN DEL EJERCICIO:
EJERCICIO M2BE3472:
Calcular el siguiente límite:

RESOLUCIÓN DEL EJERCICIO:
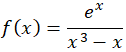
EJERCICIO M2BE3473:
Calcula todas las asíntotas de la función f: ℜ → ℜ:

RESOLUCIÓN DEL EJERCICIO:
