EXAMEN COMPLEJOS ECUACIONES INECUACIONES
EXAMEN DE ECUACIONES, INECUACIONES Y NÚMEROS COMPLEJOS RESUELTO PARA MATEMÁTICAS I DE 1º BACHILLERATO. PRUEBA 2 DEL SEGUNDO TRIMESTRE. CURSO 2025-26, REALIZADO EN «EL PILAR» :

PRUEBA EVALUADORA QUE INCLUYE SABERES BÁSICOS DE MATEMÁTICAS DE 1º DE BACHILLERATO CIENCIAS RELATIVOS A:
-
- TRIGONOMETRÍA: ECUACIONES TRIGONOMÉTRICAS
- MATERIALES DE ÁLGEBRA PARA 1º DE BACHILLERATO. ECUACIONES
- ECUACIONES EXPONENCIALES PARA MATEMÁTICAS DE SECUNDARIA Y BACHILLERATO
- ECUACIONES LOGARÍTMICAS PARA MATEMÁTICAS DE SECUNDARIA Y BACHILLERATO
- INECUACIONES PARA MATEMÁTICAS DE SECUNDARIA Y BACHILLERATO
- LOS NÚMEROS COMPLEJOS. ARITMÉTICA Y ÁLGEBRA PARA BACHILLERATO.
MÁS RECURSOS DISPONIBLES PARA MATEMÁTICAS DE 1º DE BACHILLERATO: MATEMÁTICAS 1º DE BACHILLERATO
SIGUE EL PROCESO DETERMINADO SEGÚN: MATEMÁTICAS I DE 1º DE BACHILLERATO: DESARROLLO DE LA ASIGNATURA
EL ENUNCIADO DE LA PRUEBA DE EXAMEN (X1099):
LOS EJERCICIOS DE LA PRUEBA Y SU RESOLUCIÓN PASO A PASO:
EJERCICIO M1BE3491:
Resolver la siguiente ecuación, obteniendo tanto las soluciones reales, como las complejas, si así fuera el caso:
x4 + 2x3 + x2 + 8x = 12
RESOLUCIÓN DE ESTA ECUACIÓN POLINÓMICA:
EJERCICIO M1BE3492:
Hallar k, para que el número complejo que resulta de la operación siguiente:

a.- Sea un número real puro.
b.- Sea un número imaginario puro.
RESOLUCIÓN DE ESTE EJERCICIO DE NÚMEROS COMPLEJOS:
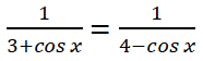
EJERCICIO M1BE3493:
Resolver la siguiente ecuación:

RESOLUCIÓN DE ESTA ECUACIÓN TRIGONOMÉTRICA:
EJERCICIO M1BE3494:
Resolver la siguiente ecuación:
3 · 4x + 6 · 2x = 24
RESOLUCIÓN DE ESTA ECUACIÓN EXPONENCIAL:
EJERCICIO M1BE3495:
Resolver la siguiente ecuación, confirmando la veracidad de las soluciones:
log3 (x-4) + log3 (x+4) = 2
RESOLUCIÓN DE ESTA ECUACIÓN LOGARÍTMICA:
EJERCICIO M1BE2943:
Resolver la siguiente inecuación:
x3 – 7x – 6 ≤ 0
RESOLUCIÓN DE ESTA INECUACIÓN:
EJERCICIO M1BE3496:
Resolver el siguiente sistema de inecuaciones, representando claramente el sector que indica la solución:

RESOLUCIÓN DE ESTE SISTEMA DE INECUACIONES CON DOS INCÓGNITAS:
CAPTURA DE GEOGEBRA, QUE PUEDE AYUDAR A CONFIRMAR/COMPRENDER:
