EXAMEN RESUELTO ECUACIONES SISTEMAS
EXAMEN RESUELTO DE ÁLGEBRA: ECUACIONES Y SISTEMAS PARA 1º DE BACHILLERATO. PRUEBA 3 DEL PRIMER TRIMESTRE. 2025-26, REALIZADO EN «EL PILAR» :

PRUEBA EVALUADORA QUE INCLUYE SABERES BÁSICOS DE MATEMÁTICAS DE 1º DE BACHILLERATO CIENCIAS RELATIVOS A:
MÁS RECURSOS DISPONIBLES PARA MATEMÁTICAS DE 1º DE BACHILLERATO: MATEMÁTICAS 1º DE BACHILLERATO
SIGUE EL PROCESO DETERMINADO SEGÚN: MATEMÁTICAS I DE 1º DE BACHILLERATO: DESARROLLO DE LA ASIGNATURA
EL ENUNCIADO DE LA PRUEBA DE EXAMEN (X1082):
X1082 MAT I 1º BAC 1TRIM PRU3 2526LOS EJERCICIOS DE LA PRUEBA Y SU RESOLUCIÓN PASO A PASO:
EJERCICIO M1BE3373:
Para preparar el Camino de Santiago de los Institutos Diocesanos de Canarias, se reúnen en la caminata un total de 20 personas entre profesores, alumnos y familiares. Contando profesores y alumnos, su número resulta ser el triple del número de familiares. Además, si hubiera acudido un alumno más, su número igualaría al de profesores.
a.- Indicar las ecuaciones con las que es posible resolver el sistema.
b.- Hallar el número de profesores que asisten, utilizando la regla de Cramer.
c.- Indicar el número de alumnos y de familiares.
RESOLUCIÓN DETALLADA DE ESTE SISTEMA DE ECUACIONES:
Ejercicio MIBE3373 SISTEMA ECUACIONES LINEAL 3X3 CRAMER_V1
EJERCICIO M1BE3374:
Resolver el siguiente sistema de ecuaciones, comprobando las soluciones, ya que hay una ecuación logarítmica:

RESOLUCIÓN DETALLADA DE ESTE SISTEMA DE ECUACIONES:
EJERCICIO M1BE3374 SISTEMA DE ECUACIONES LOGARÍTMICA EXPONENCIAL_V1
EJERCICIO M1BE3376:
Resolver la siguiente ecuación, comprobando las soluciones si ello fuera necesario:
![]()
RESOLUCIÓN DETALLADA DE ESTA ECUACIÓN IRRACIONAL:
EJERCICIO MIBE3376 ECUACIÓN IRRACIONAL_V1
EJERCICIO M1BE3380:
Resolver la siguiente ecuación, comprobando las soluciones si ello fuera necesario:
![]()
RESOLUCIÓN DETALLADA DE ESTA ECUACIÓN POLINÓMICA DE GRADO SUPERIOR A DOS:
EJERCICIO MIBE3380 ECUACIÓN POLINÓMICA GRADO SUPERIOR A DOS RUFFINI_V1
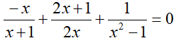
EJERCICIO M1BE3375:
Resolver la siguiente ecuación, comprobando las soluciones si ello fuera necesario:

RESOLUCIÓN DETALLADA DE ESTA ECUACIÓN RACIONAL:
Ejercicio MIBE3375 ECUACIÓN RACIONAL_V1
EJERCICIO M1BE3381:
Resolver la siguiente ecuación, comprobando las soluciones si ello fuera necesario:
![]()
RESOLUCIÓN DETALLADA DE ESTA ECUACIÓN LOGARÍTMICA:
