EXAMEN RESUELTO ANÁLISIS FUNCIONES BACHILLERATO
MATEMÁTICAS I 1º BACHILLERATO CIENCIAS
EXAMEN RESUELTO DE ANÁLISIS DE FUNCIONES PARA MATEMÁTICAS DE 1º DE BACHILLERATO. PRUEBA 1 DEL TERCER TRIMESTRE. CURSO 2025-26, REALIZADO EN «EL PILAR»:

PRUEBA EVALUADORA QUE INCLUYE SABERES BÁSICOS DE MATEMÁTICAS DE 1º DE BACHILLERATO CIENCIAS RELATIVOS A:
- SIGUE EL PROCESO DETERMINADO SEGÚN: MATEMÁTICAS I DE 1º DE BACHILLERATO: DESARROLLO DE LA ASIGNATURA
LOS ENUNCIADOS DE ESTA PRUEBA DE ANÁLISIS DE FUNCIONES (X1117) PARA 1º DE BACHILLERATO, QUE INCLUYE ASPECTOS DE AUTOEVALUACIÓN E INFORMACIÓN DE RETORNO (FEEDBACK):
EJERCICIO M1BE3557:
Para la siguiente función polinómica: f(x) = x3 – 6x2 + 9x , hallar:
a.- Puntos de corte con los ejes.
b.- Máximos y mínimos (extremos).
c.- Monotonía (intervalos de crecimiento y decrecimiento).
d.- Puntos de Inflexión.
e.- Curvatura (intervalos de concavidad y convexidad).
f.- Representar la función a través de la información obtenida en los apartados anteriores, con exactitud, rigor y limpieza correspondientes al nivel.
RESOLUCIÓN DEL EJERCICIO:
APARTADOS A, B, C DE CORTES, EXTREMOS Y MONOTONÍA:
APARTADOS D, E, F DE PUNTOS DE INFLEXIÓN, CURVATURA Y REPRESENTACIÓN:
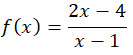
EJERCICIO M1BE3558:
Para la siguiente función racional f(x), hallar:
![]()
a.- Dominio.
b.- Puntos de corte con los ejes.
c.- Monotonía.
d.- Curvatura.
e.- Asíntotas verticales.
g.- Representar la función a través de la información obtenida en los apartados anteriores, con exactitud, rigor y limpieza correspondientes al nivel.
RESOLUCIÓN DEL EJERCICIO:
APARTADOS A,B, C DE DOMINIO, CORTES Y MONOTONÍA:
APARTADO D, DE CURVATURA:
APARTADOS E,F DE ASÍNTOTAS VERTICALES Y HORIZONTALES:
APARTADO G DE REPRESENTACIÓN DE LA FUNCIÓN:
