EXAMEN RESUELTO MATEMÁTICAS SEGÚN PAU
MATEMÁTICAS II ANÁLISIS ÁLGEBRA GEOMETRÍA PROBABILIDAD
EXAMEN RESUELTO DE MATEMÁTICAS II DE 2º DE BACHILLERATO CIENCIAS. TODOS LOS BLOQUES SEGÚN MODELO PAU CANARIAS. PRUEBA 1 DEL TERCER TRIMESTRE DEL CURSO 2025-26., REALIZADO EN «EL PILAR» :

PUEDE INTERESAR LA CONSULTA DE:
-
- FUNCIONES: ANÁLISIS PARA BACHILLERATO
- APLICACIONES DE LA DERIVADA. OPTIMIZACIÓN Y CÁLCULO DE PARÁMETROS.
- INTEGRALES Y DERIVADAS. PROBLEMAS CONTEXTUALIZADOS
- CÁLCULO DE INTEGRALES PARA MATEMÁTICAS DE BACHILLERATO
- MATRICES Y DETERMINANTES PARA BACHILLERATO.
- RESOLUCIÓN DE ECUACIONES Y SISTEMAS DE ECUACIONES MATRICIALES
- DISCUSIÓN Y RESOLUCIÓN DE SISTEMAS LINEALES. ROUCHÉ Y CRAMER
- GEOMETRÍA ESPACIAL PARA BACHILLERATO
- PROBABILIDAD. DIAGRAMAS EN ÁRBOL.
- DISTRIBUCIÓN BINOMIAL DE PROBABILIDAD, PARA MATEMÁTICAS DE BACHILLERATO
- DISTRIBUCIÓN NORMAL DE PROBABILIDADES, PARA MATEMÁTICAS DE BACHILLERATO
ESTA PRUEBA SIGUE LA DINÁMICA QUE SE REFLEJA EN LA PROGRAMACIÓN PARA ESTE CURSO DE MATEMÁTICAS II DE 2º DE BACHILLERATO CIENCIAS Y TECNOLOGÍA: MATEMÁTICAS II DE 2º DE BACHILLERATO: DESARROLLO DE LA ASIGNATURA
LOS ENUNCIADOS DE LA PRUEBA:
LOS EJERCICIOS DE LA PRUEBA Y SU RESOLUCIÓN PASO A PASO:
EJERCICIO M2BE3559:
La profundidad de la capa de arena en una playa se verá afectada por la construcción de un dique. En una zona de la playa, esa profundidad vendrá dada por la siguiente función:

Siendo P(t) la profundidad en metros yt el tiempo en años desde el inicio de la construcción. Si la profundidad llegara a superar los 4 metros, se debería elevar la altura del paseo marítimo.
a) ¿Es continua esta función? ¿Es siempre creciente? Justifique la respuesta.
b) ¿Cuál será la profundidad de la capa de arena al pasar 2 años desde el inicio de la construcción?
c) ¿Será necesario elevar la altura del paseo con el paso del tiempo, por causa de la profundidad de la arena? Justifique la respuesta.
LA RESOLUCIÓN PASO A PASO DEL EJERCICIO:
APARTADO A DE CONTINUIDAD Y CRECIMIENTO:
APARTADO B,C DE PROFUNDIDAD:
EJERCICIO M2BE3560:
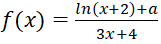
Dada la función definida por:
![]()
a) Determinar el valor de 𝑎 sabiendo que la pendiente de la recta tangente a la gráfica de 𝑓 en el punto de abscisa x = -1 es 10. Dar la expresión de la función.
b) Para el valor 𝑎=0, estudiar el dominio y las asíntotas de la función 𝑓(𝑥).
LA RESOLUCIÓN PASO A PASO DEL EJERCICIO:
APARTADO A, DEL VALOR DE a Y DE LA EXPRESIÓN DE LA FUNCIÓN:
APARTADO B, DEL DOMINIO Y ASÍNTOTAS:
EJERCICIO M2BE3561:
En el espacio tridimensional consideramos el plano y las rectas siguientes:
![]()
a) Calcula el punto simétrico de 𝑃(−2, 1, 2) respecto de 𝜋.
b) Calcular el ángulo que forman r y s.
LA RESOLUCIÓN PASO A PASO DEL EJERCICIO:
APARTADO A, DEL SIMÉTRICO:
APARTADO B, DEL ÁNGULO:
*Para la obtención del ángulo, es imperativo el estudio de la posición relativa, ya que no tendría sentido en otro caso.
EJERCICIO M2BE3562:
Según el estudio TALIS (2018), el 11% de los docentes de Educación Secundaria en España son menores de 30 años.
a) Elegimos 15 docentes españoles, ¿qué probabilidad hay de que haya menos de 2 docentes menores de 30 años?
b) Supongamos que se seleccionen al azar 200 docentes españoles. ¿Qué probabilidad hay de que entre 20 y 30 docentes sean menores de 30 años?
c) En un grupo de 500 docentes españoles, ¿cuántos cabe esperar que sean mayores de 30 años?
LA RESOLUCIÓN PASO A PASO DEL EJERCICIO:
EJERCICIO M2BE3563:
Dado el siguiente sistema de ecuaciones:

a) Discutir la compatibilidad del sistema según los diversos valores de 𝑘.
b) Resolver el sistema para 𝑘=2.
LA RESOLUCIÓN PASO A PASO DEL EJERCICIO:
