RESOLUCIÓN EXAMEN ANÁLISIS BACHILLERATO
MATEMÁTICAS I 1º BACHILLERATO CIENCIAS
EXAMEN RESUELTO DE ANÁLISIS DE FUNCIONES PARA MATEMÁTICAS I DE 1º DE BACHILLERATO. PRUEBA 2 DEL TERCER TRIMESTRE DEL CURSO 2025-26, REALIZADO EN «EL PILAR»:

PRUEBA EVALUADORA QUE INCLUYE SABERES BÁSICOS DE MATEMÁTICAS DE 1º DE BACHILLERATO CIENCIAS RELATIVOS A:
- SIGUE EL PROCESO DETERMINADO SEGÚN: MATEMÁTICAS I DE 1º DE BACHILLERATO: DESARROLLO DE LA ASIGNATURA
LOS ENUNCIADOS DE ESTA PRUEBA DE ANÁLISIS DE FUNCIONES (X1125) PARA 1º DE BACHILLERATO:
LOS EJERCICIOS DE LA PRUEBA Y SU RESOLUCIÓN PASO A PASO:
EJERCICIO M1BE2469:
Obtener la derivada de la siguiente función:
![]()
RESOLUCIÓN DEL EJERCICIO:
EJERCICIO M1BE2470:
Obtener la derivada de la siguiente función:
![]()
RESOLUCIÓN DEL EJERCICIO:
EJERCICIO M1BE2471:
Obtener la derivada de la siguiente función:
![]()
RESOLUCIÓN DEL EJERCICIO:
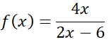
EJERCICIO M1BE3701:
Calcular las asíntotas de la siguiente función, argumenta todo el proceso que realizas.

RESOLUCIÓN DEL EJERCICIO:
EJERCICIO M1BE3702:
Realiza, utilizando la definición de derivada, la derivada de la siguiente expresión:
f(x) = 3x2 – 5x
RESOLUCIÓN DEL EJERCICIO:
EJERCICIO M1BE2474:
Para la siguiente función polinómica, f(x) = x3 + 3x2 – 4x , calcular:
a.- La monotonía y los extremos relativos.
b.- La curvatura y los puntos de inflexión.
LA RESOLUCIÓN PASO A PASO DEL EJERCICIO:
EJERCICIO M1BE3703:
Calcular el siguiente límite:

LA RESOLUCIÓN PASO A PASO DEL EJERCICIO:
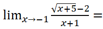
EJERCICIO M1BE3704:
Calcular el siguiente límite:

LA RESOLUCIÓN PASO A PASO DEL EJERCICIO:
