EXAMEN RESUELTO ANÁLISIS BACHILLERATO
2º BACHILLERATO ANÁLISIS
EXAMEN RESUELTO PASO A PASO DE ANÁLISIS DE FUNCIONES, PARA MATEMÁTICAS II DE 2º BACHILLERATO. PRUEBA 1 DEL PRIMER TRIMESTRE CURSO 2025-26, REALIZADO EN «EL PILAR»:

PUEDE INTERESAR LA CONSULTA DE:
-
- EJERCICIOS DE ANÁLISIS DE FUNCIONES. MATEMÁTICAS 2º BACHILLERATO
- FUNCIONES: ANÁLISIS PARA BACHILLERATO
- ESTUDIO DE LA DERIVABILIDAD DE UNA FUNCIÓN
- LÍMITES: USO DEL NÚMERO «e» PARA RESOLVER INDETERMINACIONES
- REGLA DE L’HÔPITAL PARA EL CÁLCULO DE LÍMITES. MATEMÁTICAS BACHILLERATO
- APLICACIONES DE LA DERIVADA. OPTIMIZACIÓN Y CÁLCULO DE PARÁMETROS.
- INTEGRALES Y DERIVADAS. PROBLEMAS CONTEXTUALIZADOS
- CÁLCULO DE INTEGRALES PARA MATEMÁTICAS DE BACHILLERATO
ESTA PRUEBA SIGUE LA DINÁMICA QUE SE REFLEJA EN LA PROGRAMACIÓN PARA ESTE CURSO DE MATEMÁTICAS II DE 2º DE BACHILLERATO CIENCIAS Y TECNOLOGÍA: MATEMÁTICAS II DE 2º DE BACHILLERATO: DESARROLLO DE LA ASIGNATURA
LOS ENUNCIADOS DE LA PRUEBA, DE ANÁLISIS DE FUNCIONES (X1068):
X1068 PRU1 1TRIM 25 26 MATEMÁTICAS II ANÁLISIS DE FUNCIONESLOS EJERCICIOS DE LA PRUEBA Y SU RESOLUCIÓN:
EJERCICIO M2BE2602:
Calcula los parámetros a y b para que la función definida a continuación sea derivable en todo ℜ.

RESOLUCIÓN DEL EJERCICIO:
EJERCICIO M2BE2602 ESTUDIO DERIVABILIDAD ANÁLISIS FUNCIONES_v1
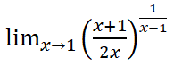
EJERCICIO M2BE3330:
Realizar el siguiente límite:

RESOLUCIÓN DEL EJERCICIO:
EJERCICIO M2BE3330 SOLUCIÓN LIMITE NUMERO E
Por si alguien desea utilizar las estrategias que nos acercan al número «e», en lugar de la fórmula:
EJERCICIO M2BE3330 LÍMITE NÚMERO E_V1
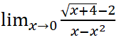
EJERCICIO M2BE3331:
Realizar el siguiente límite:

RESOLUCIÓN DETALLADA DEL EJERCICIO:
UTILIZANDO LA ESTRATEGIA DEL CONJUGADO:
EJERCICIO M2BE3331 LÍMITE CONJUGADO_V1
UTILIZANDO LA REGLA DE L`HOPITAL:
EJERCICIO M2BE3331 SOLUCIÓN LIMITE CONJUGADO_V1
EJERCICIO M2BE2355:
Considera la función f(x) = ax3 + bx2 + cx + d.
Calcular los coeficientes a, b, c y d, sabiendo que f tiene un extremo relativo en el punto P(0,1) y su gráfica tiene un punto de inflexión Q(1, -1).
Dar la expresión de la función f(x).
RESOLUCIÓN DEL EJERCICIO:
M2BE2355 PARÁMETROS APLICACIONES DE LA DERIVADA_v1
EJERCICIO M2BE3332:
La profesora Bárbara tiene un jardín en su casa. El jardín está delimitado por las funciones f(x) = x2 – 2x + 1 y g(x) = – x2 + 4x + 1. Suponiendo que el gráfico está en metros.
a) Realiza el boceto del jardín de la casa de Bárbara.
b) Bárbara va a plantar calabazas en el jardín para regalárselas a sus estimados alumnos, gastando en cada metro cuadrado de jardín 35 euros en semillas. Si va a plantar todo el jardín de calabazas, ¿Cuánto va a gastar Bárbara en la plantación?
RESOLUCIÓN DEL EJERCICIO:
EJERCICIO M2BE3332 INTEGRAL DEFINIDA ÁREA ENCERRADA_V1
