EXAMEN RESUELTO MATEMÁTICAS CCSS BACHILLERATO
MATEMÁTICAS 2º BACHILLERATO CIENCIAS SOCIALES
PROBABILIDAD ESTADÍSTICA ANÁLISIS PROGRAMACIÓN LINEAL
EXAMEN RESUELTO MATEMÁTICAS II CCSS. 2º DE BACHILLERATO. TERCER TRIMESTRE, PRUEBA 1 DEL CURSO 2025-26. PROBABILIDAD Y ESTADÍSTICA, ANÁLISIS DE FUNCIONES, ÁLGEBRA Y PROGRAMACIÓN LINEAL, REALIZADO EN EL PILAR:

INTERESA LA CONSULTA DE LOS SIGUIENTES ARTÍCULOS DENTRO DE ESTE PROYECTO DE MEJORA DEL APRENDIZAJE EN CIENCIAS:
-
- PROBABILIDAD. DIAGRAMAS EN ÁRBOL.
- REGLA DE CRAMER. SISTEMAS DE ECUACIONES PARA BACHILLERATO
- DISTRIBUCIÓN NORMAL DE PROBABILIDADES, PARA MATEMÁTICAS DE BACHILLERATO
- DISTRIBUCIÓN BINOMIAL DE PROBABILIDAD, PARA MATEMÁTICAS DE BACHILLERATO
- PROBABILIDAD E INTERVALOS DE CONFIANZA, PARA MATEMÁTICAS DE 2º BACHILLERATO CIENCIAS SOCIALES
- FUNCIONES. ANÁLISIS
- CÁLCULO DE INTEGRALES PARA MATEMÁTICAS DE BACHILLERATO
- INTEGRALES Y DERIVADAS. PROBLEMAS CONTEXTUALIZADOS
ESTA PRUEBA SIGUE LA DINÁMICA QUE SE REFLEJA EN LA PROGRAMACIÓN PARA ESTE CURSO DE MATEMÁTICAS II DE 2º DE BACHILLERATO CIENCIAS SOCIALES: MATEMÁTICAS II APLICADAS A LAS CIENCIAS SOCIALES PARA 2º DE BACHILLERATO. DESARROLLO DE LA ASIGNATURA
LOS ENUNCIADOS DE LA PRUEBA (X1119):
*Las páginas y números son la referencia del cuadernillo que compartimos en clase en El Pilar, correspondientes a ejercicios EBAU/PAU Canarias
LOS EJERCICIOS DE LA PRUEBA Y SU RESOLUCIÓN PASO A PASO:
EJERCICIO M2BECCSS3564:
Se realiza un estudio para evaluar qué proporción de los pasajeros en las rutas interinsulares viaja con descuento de residente. Para ello se toma una muestra de 300 pasajeros, de los cuales se observa que 225 viajan con este descuento.
a) Determinar un intervalo de confianza, al 96%, para la proporción de pasajeros que viajan con descuento de residente.
b) Usando la proporción de pasajeros con descuento de residencia calculada en esta muestra como estimación de dicha proporción en la población, ¿de qué tamaño debería ser la muestra si se desea construir un intervalo de confianza al 92% para esa proporción con un error máximo de 0.03?
c) Si se pierden los datos de 5 de los pasajeros de la muestra, ¿cuál es la probabilidad de que ninguno de ellos viajara con descuento de residencia?
RESOLUCIÓN DEL EJERCICIO:
… en construcción…
EJERCICIO M2BECCSS3565:
Un fabricante de televisores afirma que la duración media de su producto es de 10 años. Para verificar esto, se selecciona una muestra aleatoria de 50 televisores y se encuentra que la duración media es de 9.5 años, con una desviación típica de 2 años.
a) Calcular el intervalo de confianza del 88% para la duración media de los televisores del fabricante.
b) ¿Qué tamaño muestral se necesita para estimar la duración media de los televisores con un error menor de 6 meses y con un nivel de confianza del 95%?
RESOLUCIÓN DEL EJERCICIO:
… en construcción…
EJERCICIO M2BECCSS3566:
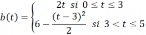
Durante los últimos 5 años, el beneficio de una empresa, en cientos de miles de euros, viene dado por la función:

a) ¿Cuándo ha crecido y cuando decrecido b(t)?
b) Determina cuando se producen los máximos y mínimos de b(t), así como los correspondiente los valores.
c) ¿Cuándo el beneficio es igual a 500000 euros?
RESOLUCIÓN DEL EJERCICIO:
… en construcción…
EJERCICIO M2BECCSS3567:
El recubrimiento de lona de una terraza tiene una zona deteriorada cuya superficie está limitada por f(x) = (x – 2)2 y g(x) = – 4x + 8 . Si se mide en metros, se pide:
a) Representar la zona deteriorada.
b) Para repararla, se ha de utilizar lona cuyo coste (incluido trabajo de reparación) es de 18 euros por metro cuadrado. Si en el trabajo de reparación se desperdicia la tercera parte de la lona adquirida, ¿ cuánto costará la reparación?
RESOLUCIÓN DEL EJERCICIO:
… en construcción…
EJERCICIO M2BECCSS3568:
En un hotel hay un total de 240 turistas ingleses, alemanes y franceses. Si los franceses son la tercera parte de la suma de alemanes e ingleses y el 200% de los ingleses igualan a la suma de alemanes y franceses:
a) Plantear el correspondiente sistema de ecuaciones.
b) Determinar cuántos turistas de cada nacionalidad hay en el hotel.
RESOLUCIÓN DEL EJERCICIO:
… en construcción…
EJERCICIO M2BECCSS3569:
En un almacén de electrodomésticos hay neveras y lavadoras, pudiéndose almacenar hasta un total de 180 unidades. Para atender adecuadamente la demanda de los clientes, deben existir al menos 30 lavadoras y el número de neveras debe ser, al menos, igual al número de lavadoras más 20. Si el costo de cada nevera es de 450 euros y de cada lavadora es de 375 euros.
a) Formular el correspondiente problema.
b) Representar la región factible.
c) ¿Cuántas unidades de cada electrodoméstico se han de almacenar minimizando los costos totales?
RESOLUCIÓN DEL EJERCICIO:
… en construcción…
