UNIDADES DESINTEGRACIÓN RADIACTIVA CURIE BECQUEREL
UNIDADES DE DESINTEGRACIÓN RADIACTIVA. CURIE Vs BECQUEREL:

PUEDE INTERESAR LA CONSULTA DE LOS SIGUIENTES ARTÍCULOS:
ESTE MATERIAL SIGUE EL PROCESO DETERMINADO POR:
El CURIE (Ci) se usa en física nuclear para indicar la actividad radiactiva de una sustancia (desintegraciones nucleares por segundo). Se llama así en honor a Marie Curie y Pierre Curie, precursores del estudio de la radiactividad.
Un curie corresponde con 3,7 · 1010 desintegraciones por segundo, que es una cantidad enorme de radiactividad.
El Sistema Internacional de Unidades utiliza el BECQUEREL (Bq) que corresponde a 1 desintegración por segundo. Unidad en honor de Antoine Henri Becquerel
La razón del valor de: 1 Ci = 3,7 · 1010 Bq es porque los Curie tomaron como referencia 1 gramo de Ra-226, con el que se trabajó mucho en esa época en radiactividad y tenía una actividad lo suficientemente alta y fácil de medir.
Veamos cómo se obtiene ese valor: 1 Ci = 3,7 · 1010 Bq = 37 GBq
Midieron que un gramo de Ra-226 sufría 3,7 · 1010 desintegraciones por segundo, y a ese valor lo llamaron 1 curie.
La Actividad radiactiva se define como:
A = ʎ · N
Donde: ʎ es la constante de desintegración y N es el número de átomos presentes.
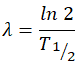
Podemos obtener ʎ con el periodo de semidesintegración T1/2:

Para el Ra-226, el T1/2 es de aproximadamente 1600 años
La masa atómica del Ra-226 es de 226 g/mol
Teniendo en cuenta que 1 mol tiene un Número de Avogadro de átomos, esto es 6,022·1023 átomos, podemos calcular el número de átomos presentes en un gramo de Radio-226, utilizando factores de conversión:

Por otro lado:
T1/2 = 1600 años = 1600 · 365 · 24 · 60 · 60 segundos = 5,05·1010 segundos
Con lo que la constante de desintegración:

Y la Actividad:
A = ʎ · N = 1,37 · 10-11 · 2,66·1021 ≅ 3,7 · 1010 desintegraciones por segundo (Bq) = 1 curie (Ci)
El mismo contenido que aquí se muestra, pero en formato ejercicio/cuestión:
EJERCICIO F2BE3553:
El Curie (Ci) es una unidad histórica de radiactividad, en honor a Marie Curie y Pierre Curie. Hoy en día la unidad de radiactividad, en el Sistema Internacional, es el Becquerel (Bq), en honor a Antoine Henri Becquerel, que corresponde a una desintegración por segundo.
Al inicio del estudio de la radiactividad se tomó como unidad el Ci, como el número de desintegraciones por segundo de un gramo de Ra-226.
En base a los datos suministrados y a lo mencionado de los valores del Ci y del Bq, hallar la equivalencia entre las dos magnitudes.
DATOS: Ma (Ra-226) = 226 g/mol; Número de Avogadro = N.A. = 6,022·1023; T1/2 (Ra-226) = 1600 años.
IR A LA RESOLUCIÓN DEL EJERCICIO: EJERCICIO DE RADIACTIVIDAD, DE OBTENCIÓN DE LA EQUIVALENCIA ENTRE EL CURIE Y EL BECQUEREL. UNIDADES DE DESINTEGRACIÓN RADIACTIVA
