EXAMEN MATEMÁTICAS II CCSS
MATEMÁTICAS 2º BACHILLERATO CIENCIAS SOCIALES
PROBABILIDAD ESTADÍSTICA ANÁLISIS PROGRAMACIÓN LINEAL
EXAMEN RESUELTO MATEMÁTICAS CCSS 2º BACHILLERATO. PROBABILIDAD Y ESTADÍSTICA, ANÁLISIS Y PROGRAMACIÓN LINEAL, PRUEBA 3 DEL SEGUNDO TRIMESTRE, CURSO 2024-25, REALIZADO EN EL PILAR:

INTERESA LA CONSULTA DE LOS SIGUIENTES ARTÍCULOS DENTRO DE ESTE PROYECTO DE MEJORA DEL APRENDIZAJE EN CIENCIAS:
-
- PROBABILIDAD. DIAGRAMAS EN ÁRBOL.
- DISTRIBUCIÓN NORMAL DE PROBABILIDADES, PARA MATEMÁTICAS DE BACHILLERATO
- DISTRIBUCIÓN BINOMIAL DE PROBABILIDAD, PARA MATEMÁTICAS DE BACHILLERATO
- PROBABILIDAD E INTERVALOS DE CONFIANZA, PARA MATEMÁTICAS DE 2º BACHILLERATO CIENCIAS SOCIALES
- FUNCIONES. ANÁLISIS
- CÁLCULO DE INTEGRALES PARA MATEMÁTICAS DE BACHILLERATO
- INTEGRALES Y DERIVADAS. PROBLEMAS CONTEXTUALIZADOS
ESTA PRUEBA SIGUE LA DINÁMICA QUE SE REFLEJA EN LA PROGRAMACIÓN PARA ESTE CURSO DE MATEMÁTICAS II DE 2º DE BACHILLERATO CIENCIAS SOCIALES: MATEMÁTICAS II APLICADAS A LAS CIENCIAS SOCIALES PARA 2º DE BACHILLERATO. DESARROLLO DE LA ASIGNATURA
LOS ENUNCIADOS DE LA PRUEBA (X1024):
X1024 MATEMÁTICAS II CCSS PRUEBA 3 EVALUACION 2 2425_v1LOS EJERCICIOS DE LA PRUEBA Y SU RESOLUCIÓN PASO A PASO:
EJERCICIO M2BECCSS3013:
En un periódico se lee el siguiente titular: “Un 57,2% de los catalanes están “totalmente o bastante” a favor de la independencia”.
a) Sabiendo que para obtener dicha proporción se han realizado 1.050 encuestas telefónicas, construir un intervalo de confianza con un nivel de confianza de 0.8.
b) ¿A cuántas personas habría que encuestar para estimar la proporción de respuestas del titular con un error máximo del 1,5% y con un nivel de confianza del 95%?
LA RESOLUCIÓN PASO A PASO DEL EJERCICIO:
EJERCICIO M2BECCSS3013 INTERVALO DE CONFIANZA_v1
EJERCICIOM2BECS2927:
La empresa de comida a domicilio “TRISTES DELICIAS” quiere estudiar el tiempo (en minutos) que tardan sus repartidores en entregar los pedidos.
Estudió una muestra de 200 pedidos y obtuvo el intervalo de confianza [16,84 ; 18,16] para el tiempo medio que tardan los repartidores en entregar la comida desde el momento en que la recogen en los locales. Sabiendo que la desviación típica es 4 minutos, calcula:
a) ¿Cuál fue el tiempo medio obtenido en la muestra? ¿Cuál fue el error de estimación cometido? ¿Cuál fue el nivel de confianza con el que se obtuvo el intervalo de confianza?
b) Si un día se hicieron 425 repartos, utilizando la estimación puntual obtenida en el apartado anterior para la media, calcula la probabilidad de que el tiempo medio de entrega de los pedidos sea superior a 18 minutos.
LA RESOLUCIÓN PASO A PASO DEL EJERCICIO:
EJERCICIO M2BE2927 PROBABILIDAD INTERVALOS CONFIANZA_V1
EJERCICIO M2BECCSS3014:
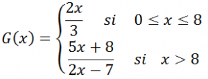
La función G(x), en miles de euros, de las ganancias de una empresa, creada para dar servicio y potenciar el sector de las Energías Renovables en función del tiempo transcurrido , en meses desde su creación, es:

a) ¿Cuánto gana la empresa transcurridos 6 meses desde su creación? ¿Y transcurridos 10 años?
b) Dar los intervalos de crecimiento y decrecimiento de dichas ganancias.
c) ¿Qué sucede a medida que transcurre el tiempo? Razona la respuesta.
LA RESOLUCIÓN PASO A PASO DEL EJERCICIO:
EJERCICIO M2BECCSS3014 ANÁLISIS DE FUNCIONES_v1
EJERCICIO M2BECCSS3015:
Un instituto oferta a sus 240 alumnos actividades extraescolares. Algunos hacen deportes, otros hacen teatro y los hay que deciden no hacer actividades. Los que hacen deportes son el doble de los que hacen teatro y los que no hacen ninguna actividad juntos. Los que hacen teatro son la tercera parte de los que no hacen ninguna actividad. ¿Cuántos alumnos hay en cada modalidad?
LA RESOLUCIÓN PASO A PASO DEL EJERCICIO:
EJERCICIO M2BECCSS3015 SISTEMAS DE ECUACIONES 3 X 3_v1
EJERCICIO M2BECCSS3016:
Calcular la región factible y el beneficio B(x,y) máximo, siendo B(x,y) = 35x + 55 y, con las siguientes restricciones:

LA RESOLUCIÓN PASO A PASO DEL EJERCICIO:
EJERCICIO M2BECCSS3016 PROGRAMACIÓN LINEAL_v1
