EJERCICIOS PREPARAR PRUEBA OPERACIONES
EJERCICIOS PARA PREPARAR UNA PRUEBA DE OPERACIONES CON RADICALES Y LOGARITMOS (ARITMÉTICA) PARA 1º DE BACHILLERATO:

PUEDE INTERESAR LA CONSULTA DE LOS SIGUIENTES ARTÍCULOS:
SIGUE EL PROCESO DETERMINADO SEGÚN: MATEMÁTICAS I DE 1º DE BACHILLERATO: DESARROLLO DE LA ASIGNATURA
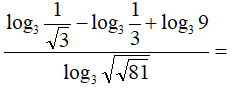
EJERCICIO M1BE3409:
Obtener el valor de la siguiente expresión, exclusivamente utilizando las propiedades de los logaritmos, dejando constancia de los pasos y sin calculadora:

RESOLUCIÓN PASO A PASO DE ESTE EJERCICIO DE UTILIZACIÓN DE LAS PROPIEDADES DE LOS LOGARITMOS:
EJERCICIO M1BE3409 PROPIEDADES LOGARITMOS__V1
EJERCICIO M1BE3410:
Sabiendo que log 2 = 0,3010 y log 11 = 1,0414, sin calculadora y exclusivamente utilizando las propiedades de los logaritmos, obtener el valor de los siguientes logaritmos (2 puntos):
a.- log 242 =
b.- log 88 =
RESOLUCIÓN PASO A PASO DE ESTE EJERCICIO DE UTILIZACIÓN DE LAS PROPIEDADES DE LOS LOGARITMOS:
EJERCICIO M1BE3410 PROPIEDADES LOGARITMOS_V1
EJERCICIO M1BE3411:
Racionalizar y simplificar las siguientes expresiones con radicales:

RESOLUCIÓN PASO A PASO DE ESTE EJERCICIO DE RACIONALIZACIÓN DE DENOMINADORES:
EJERCICIO M1BE3411 RACIONALIZAR DENOMINADORES_V1
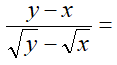
EJERCICIO M1BE3419:
Racionalizar y simplificar las siguientes expresiones con radicales:

RESOLUCIÓN PASO A PASO DE ESTE EJERCICIO DE RACIONALIZACIÓN DE DENOMINADORES:
EJERCICIO M1BE3419 RACIONALIZAR DENOMINADORES_V1
EJERCICIO M1BE3412:
Realizar la siguiente operación con radicales, obteniendo la expresión más simplificada. Evidentemente, de forma argumentada, paso a paso, sin calculadora:

RESOLUCIÓN PASO A PASO DE ESTE EJERCICIO DE OPERACIONES CON RADICALES:
EJERCICIO M1BE3412 SIMPLIFICAR RADICALES_V1
EJERCICIO M1BE3420:
Realizar la siguiente operación con radicales, obteniendo la expresión más simplificada. Evidentemente, de forma argumentada, paso a paso, sin calculadora:

RESOLUCIÓN PASO A PASO DE ESTE EJERCICIO DE OPERACIONES CON RADICALES:
EJERCICIO M1BE3420 SIMPLIFICAR RADICALES_V1
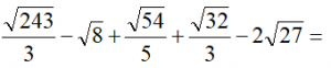
EJERCICIO M1BE3413:
Realizar la siguiente operación con radicales, obteniendo la expresión más simplificada. Evidentemente, de forma argumentada, paso a paso, sin calculadora:

RESOLUCIÓN PASO A PASO DE ESTE EJERCICIO DE OPERACIONES CON RADICALES:
