EJERCICIOS RESUELTOS RELATIVIDAD BACHILLERATO
EJERCICIOS RESUELTOS DE RELATIVIDAD PARA FÍSICA DE 2º DE BACHILLERATO:

PUEDE INTERESAR LA CONSULTA DE LOS SIGUIENTES MATERIALES RELACIONADOS:
- RELATIVIDAD PARA FÍSICA DE BACHILLERATO
- OBTENCIÓN DE LA TRANSFORMACIÓN DE LORENTZ PARA INTERVALOS DE TIEMPO. RELATIVIDAD
- UNA CONFIRMACIÓN DE LA TEORÍA DE LA RELATIVIDAD. LA VISITA DE LOS MUONES A LA SUPERFICIE DE LA TIERRA
ESTE MATERIAL SIGUE EL PROCESO DETERMINADO POR: FÍSICA DE 2º DE BACHILLERATO: DESARROLLO DE LA ASIGNATURA
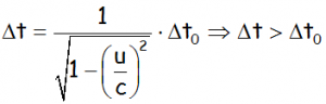
Las ecuaciones que nos permiten abordar este contenido, son: el cerebro, ganas y las Transformaciones de Lorentz:

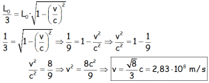
EJERCICIO F2BE3081 (EBAU CANARIAS JUNIO 2024):
Un individuo en reposo respecto de una varilla mide la longitud de ésta y obtiene Lo. ¿A qué velocidad se debe mover el individuo respecto de la varilla para que la longitud medida de la varilla sea un tercio de la medida en reposo?
Dato: c = 3·108 m/s
RESOLUCIÓN DEL EJERCICIO:


EJERCICIO F2BE3082
Una partícula elemental se forma en la alta atmósfera a 20 km de altura, por la acción de la radiación del Sol sobre sus moléculas, y alcanza una velocidad de 0’8 c. ¿Cuánto tiempo habrá durado su viaje hasta la superficie terrestre:
a.- ¿para la propia partícula?
b.- ¿para los habitantes de la Tierra?.
DATO: c=3·108 m/s
RESOLUCIÓN DEL EJERCICIO:


Que es la distancia que se observa en un Sistema de referencia ligado a la partícula, en cuyo caso la partícula tardaría en recorrer estos 1200 m:

Para un S.R. ligado a la Tierra, la partícula tendría que recorrer los 20000 m, con lo que:
![]()
Que debe ser igual a lo obtenido utilizando la transformación de Lorentz correspondiente al intervalo de tiempo:


EJERCICIO F2BE3083:
Un avión de 40 m en reposo, se desplaza con una velocidad de 900 km/h. ¿Cuánto varía su longitud?
DATO: c=3·108 m/s
RESOLUCIÓN DEL EJERCICIO:

![]()

Que como se puede observar, al ser la velocidad tan baja respecto de la velocidad de la luz, no se notan los efectos relativistas.
EJERCICIO F2BE3084:
Un protón, cuya masa es mp = 1 u.m.a. es acelerado por un campo electrostático local hasta que alcanza un velocidad de 0’8 c. ¿Cuánto ha variado su masa? Razona la respuesta.
DATO: 1 u.m.a = 1’6605·10-27 kg; c=3·108 m/s
RESOLUCIÓN DEL EJERCICIO:


EJERCICIO F2BE3086:
Suponer una lámpara encendida en un tren AVE que viaja a una velocidad de 200 m/s. Un viajero espacial pasa cerca de él a una velocidad igual a c=3·108. Calcula la velocidad de la luz que percibirá el viajero si avanza acercándose al tren o alejándose del mismo.
RESOLUCIÓN DEL EJERCICIO:
El viajero percibirá que la velocidad de la luz es igual a c, independientemente de que se aleje o se acerque de la fuente de la luz. Es uno de los postulados de la relatividad especial: la velocidad de la luz es una constante que no depende de la velocidad relativa entre un observador y una fuente de luz.
EJERCICIO F2BE3095:
Un astronauta tiene una misión en torno a la estrella Sirio, que está a 9 años luz de distancia de la Tierra. La nave ha realizado el viaje a una velocidad de 0,8 c. Hallar:
a.- ¿A qué distancia está Sirio de la Tierra?.
b.- El tiempo que dura el viaje desde la Tierra a Sirio, para un observador en la Tierra.
c.- El tiempo que dura el viaje para el astronauta.
d.- La distancia recorrida desde el punto de vista del astronauta.
DATO: c=3·108 m/s
RESOLUCIÓN DEL EJERCICIO:
EJERCICIO F2BE3095 RELATIVIDAD RESUELTO FÍSICA BACHILLERATO_v1
EJERCICIO F2BE3097;
En una nave que viaja a 270 000 km/s se celebra el primer cumpleaños de una niña que nació durante el viaje. ¿Qué edad tendrá respecto a la Tierra?
DATO: c=3·108 m/s
SOLUCIÓN: 2,29 años
EJERCICIO F2BE3098:
Un observador terrestre mide la longitud de una nave espacial que pasa próxima a la Tierra y que se mueve con velocidad v<c, resultando ser L. Los astronautas que viajan en la nave le comunican por radio que la longitud de su nave es Lo:
a.- ¿Coinciden ambas longitudes? ¿Cuál es mayor?. Razona tus respuestas.
b.- Si la nave se moviese a la velocidad de la luz, ¿qué longitud mediría el observador terrestre?
SOLUCIÓN: L<L0, L=0
EJERCICIO F2BE3099:
Un astronauta buscando tranquilidad, se va de paseo por la galaxia durante 6 horas, medidas por su reloj a una velocidad del 90% de la velocidad de la luz. ¿Que tiempo ha pasado en la Tierra mientras ha estado de viaje?
SOLUCIÓN: 13,76 horas
EJERCICIO F2BE3101:
Un astronauta buscando tranquilidad, se va de paseo por la galaxia durante 6 horas, medidas por su reloj a una velocidad del 90% de la velocidad de la luz. ¿A qué velocidad ha realizado el viaje si comprueba en su reloj que han pasado 11 horas, 28 minutos y 12 segundos?
DATO: c=3·108 m/s
SOLUCIÓN: 2,56·108 m/s
EJERCICIO F2BE3158:
Obtener la velocidad de una nave espacial que se aleja de la Tierra, si conocemos que un observador terrestre aprecia que su longitud es el 95% de la que tenía en reposo.
DATO: c=3·108 m/s.
IR AL ARTÍCULO CON LA SOLUCIÓN PASO A PASO DEL EJERCICIO: EXAMEN FINAL DE FÍSICA RESUELTO, PARA 2º DE BACHILLERATO. MAYO 2025. GRAVITATORIO, ELÉCTRICO, ONDULATORIO, ÓPTICA Y MODERNA
