TRABAJO TRIMESTRAL INTEGRALES INDEFINIDAS
TRABAJO TRIMESTRAL EVALUABLE DE INTEGRALES INMEDIATAS, PARA MATEMÁTICAS II DE 2º DE BACHILLERATO. CONTRASTE CON GEOGEBRA, REALIZADO EN «EL PILAR»:
PUEDE INTERESAR LA CONSULTA DE:
ESTE TRABAJO TRIMESTRAL SE REALIZA SIGUIENDO LAS DIRECTRICES DE: LA IMPORTANCIA DEL CARPESANO , CON APUNTES, DE AHÍ EL INTERÉS DE TOMAR NOTA DE TODO LO QUE SE HACE EN CLASE, ASÍ COMO ELABORAR RESÚMENES APROPIADOS PARA EL ESTUDIO.
ESTA PRUEBA SIGUE LA DINÁMICA QUE SE REFLEJA EN LA PROGRAMACIÓN PARA ESTE CURSO DE MATEMÁTICAS II DE 2º DE BACHILLERATO CIENCIAS Y TECNOLOGÍA: MATEMÁTICAS II DE 2º DE BACHILLERATO: DESARROLLO DE LA ASIGNATURA
LOS ENUNCIADOS DE LA PRUEBA (X1075):
X1075 MAT II 1º BAC 1TRIM TRABAJO TRIM 2526_V1LOS EJERCICIOS DE LA PRUEBA Y SU RESOLUCIÓN PASO A PASO:
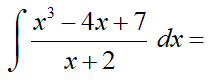
EJERCICIO M2BE3051:
Resolver la siguiente integral indefinida:

RESOLUCIÓN DE LA INTEGRAL:
EJERCICIO M2BE3051 INTEGRAL RACIONAL DIVISIÓN_V1
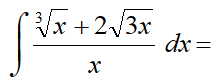
EJERCICIO M2BE3052:
Resolver la siguiente integral indefinida:

RESOLUCIÓN DE LA INTEGRAL:
EJERCICIO M2BE3052 INTEGRAL INMEDIATA_V1
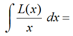
EJERCICIO M2BE3053:
Resolver la siguiente integral indefinida:

RESOLUCIÓN DE LA INTEGRAL:
EJERCICIO MZBE3053 INTEGRAL INDEFINIDA_V1
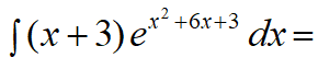
EJERCICIO M2BE3054:
Resolver la siguiente integral indefinida:

RESOLUCIÓN DE LA INTEGRAL:
EJERCICIO M2BE3054 INTEGRAL FUNCIÓN EXPONENCIAL_V1
EJERCICIO M2BE2380:
Calcular la siguiente integral indefinida:

RESOLUCIÓN PASO A PASO DEL EJERCICIO:
EJERCICIO 2380 INTEGRAL TANGENTE CUADRADO SOLUCION_v1
